行業觀察|2021年上半年工業互聯網產業投融資監測
時間:2021-07-15
【總體情況】
2021年上半年,我國工業互聯網行業實現非上市投融資事件175起,同比增長24.1%,披露總金額突破340億元,同比大幅增長131.8%,融資金額均值較上年同期增長87.5%(見圖1)。

【融資金額】
交易金額在億元級別的項目占比高達41.5%,較2020年同期提升了近十個百分點(見圖2)。融資規模高于5億元(含5億元)的大額交易共發生14起,占上半年事件總量的8%,對應交易規模236.02億元,占上半年交易總規模的69.2%。

【融資階段】
工業互聯網行業中后期項目數量占比達54.3%,較上年同期提升3.2個百分點(見圖3)。整體來看,投資機構對于用戶規模大、數據質量高、商業模式相對成熟的工業互聯網企業呈現更高關注,投資偏好持續向中后期項目轉移。

【細分賽道】
工業互聯網平臺融資活躍,航天云網和眾能聯合于3月完成26.32億元的戰略融資和超30億元的C++輪融資,百布、能鏈、德風科技等企業完成超5億元規模融資。工業機器人賽道熱度上升,完成投融資事件達25起,較上年同期增長92.3%,節卡機器人、越疆科技、鎂伽機器人等企業先后完成超3億元規模融資。此外,工業互聯網安全受到廣泛關注,長揚科技于3月和5月先后完成近2億元D輪融資和1.75億元E輪融資,數篷科技、墨云科技、默安科技、威努特、六方云等企業也均實現超億元融資。
【區域分布】
工業互聯網行業非上市投融資事件主要聚集于北京、上海、浙江、廣東和江蘇,此外,山東、四川、福建等地的投融資也相對活躍(見圖4)。

【上市進展】
2021年以來,共12家工業互聯網相關企業成功上市,募集資金總額突破75億元,所募集資金主要應用于技術研發、產能擴大、產品升級、營銷平臺建設、補充流動資金等方面(見表1)。

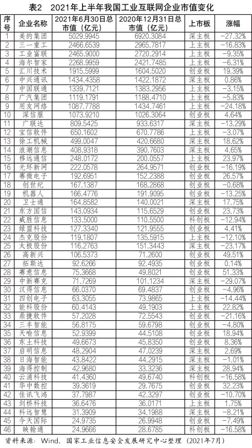
【企業市值】
隨著行業進入深耕細作、鍛長補短的落地實踐階段,我國工業互聯網上市企業的總市值由2020年12月的28358億元回調至2021年6月的25495億元,市值降低的企業占比超五成(見表2)。具體來看,美的集團、用友網絡、三一重工等龍頭企業半年度市值分別降低27.32%、24.18%和16.83%。

【融資事件】

來源:信息政策所